服务热线:0591-39010577 / 85236228
快捷导航
  • 3

【史海钩沉】这一群年青女性,开启福清近代医院创立发展进程

梦想何先生 发表于 2024-5-27 20:36:57 来自手机 | 显示全部楼层 |阅读模式 | 来自福建
2138 3

请登录查看大图。42+万用户选择下载看福清App享受全功能!

您需要 登录 才可以下载或查看,没有账号?立即注册 |

x

卫生健康事业直接关乎人民群众的身心健康,是最普遍最基本的民生福祉。

 

历史上的福清僻居东南一隅,交通闭塞,经济凋敝,城乡各地缺医少药几为常态。

 

120多年前,随着东西方文化经济等交流交往日盛,风气开化,一支为数不多,来自不同国度、不同地区的年青女性,用她们羸弱的肩膀、细腻的双手,率先开启了福清近代医院的创立与发展进程。

 

让历史记住她们的名字:程吕底亚,李煦春,翁瑞金,方雪琼,方爱珍……

(一)

1900年(清光绪二十六年)10月,在龙田,福建省福清县第一家近代西式医院——龙田妇孺医院创立。

龙田妇孺医院,由美国女布道士程吕底亚、林师姑二人发起开办,设15张病床。1921年2月,医院从龙田迁入福清城关吴厝巷,设床位30张;龙田原址其后改名为和新田医院。1926年3月,再迁今清荣大道北侧(现福清市中医院),更名福清私立惠乐生医院。新中国成立初期,改名福清医院,成为公办医院。

 

龙田妇孺医院及其龙田和新田医院的衍变发展,成为今天福清市医院和福清第二医院、福清卫生学校(闽江师专医护学院)的共同源头。

 

(二)

程吕底亚(Lydia Trimble,1863-1941),原籍加拿大,美国晨边学院学士、西弗特尔师范学院文科硕士。

 

1889年,程吕底亚来华传教兴学。她积极倡导女子受教育权利,最早落脚于福清,在龙田教堂附近创办了龙田毓贞女学校、妇女学校(后分合发展为福清第二中学和龙田中心小学)和妇孺医院。其间,还在平潭创建了妇女学、毓贤女子学校。

 

1904年,程吕底亚倡建福州华南女子大学(私立华南女子文理学院)。1908年担任该校校长,直至1925年回美国定居。

程吕底亚也是中国南方开办女子高等教育第一人,对中国女子教育事业做出卓著贡献。

(三)

从1907年到1950年,李煦春长期在龙田妇孺医院和福清惠乐生医院执医,并担任院长职务。

李煦春(1881-?),又名李美珠,福建闽侯县人。其父李长水,曾参与创办莆田仁济医院、涵江兴仁医院、咸益女学堂。

1905年,李煦春以优异成绩毕业于美国宾夕法尼亚女子医学院。当时华盛顿媒体报道说,“经过八年的学习,她成为第二位在美国获得医学博士学位的中国女性”。她在留美时,曾发誓要“在自己的祖国建立一所医院”。1905年5月25日,《纽约时报》曾以《Li Bi-Cu at White House》为题,报道她受到罗斯福总统的接见。

 

1907年,龙田妇孺医院在上一村后厝建成新院舍,聘请李煦春任院长,黃绮春为副院长。其后,院内附设高级助产护士学校,培养护士和助产士。

 

1912年,李煦春被选为美以美会环球总议会代表,与黄治基、柯志仁、陈圣恩、李长水等赴美与会,其间他们参与了促成美国政府承认新生的中华民国的民间外交活动。

1919年,受万国妇女医学会邀请,李煦春赴美参加世界健康与社会道德会议,并着手募资筹建在福清县城区的新医院。

 

1921年2月,龙田妇孺医院和护士学校迁往福清融城吴厝巷(原明义初级中学)。1926年3月新院落成。为纪念英籍医生惠乐生(Mrs. F. Harsqh)女士的捐资,命名为福清私立惠乐生医院。李煦春续任院长。1950年正式退休前后,她曾一度居住于福州仓山的琴泉山馆。

40多年间,李煦春以精湛的医术和卓越的领导能力,使龙田妇孺医院和福清惠乐生医院的医疗事业不断巩固发展,深受福清民众的爱戴。  

 

1930年,惠乐生医院举办建院30周年纪念活动时,曾有赠联赞曰:

惠此无疆,溯设院肇基,二十载恩覃福海;

乐而不倦,羡回春妙手,二五年泽被群生。

(四)

1921年,龙田妇孺医院与护士学校迁往融城时,龙田原院仅留下3名护士维持日常门诊工作。

1930年,龙田民众推选代表,向福清私立惠乐生医院请求派人再兴龙田本院。惠乐生医院当即委派翁瑞金医生前往龙田,担任院长兼医生,并随派护士、职工若干名,恢复收容住院患者,原院名改称“和新田医院”。

翁瑞金(1900-1942),福清三山坑边村人。1908年3月,鼠疫在三天之间,夺去了翁瑞金父母和兄长3人的生命。在其大姐翁瑞玉、姐夫薛永香扶持下,翁瑞金在龙田毓贞女塾读完小学和初中,又考进福州华南女子文理学院的附属高中,靠工读和奖学金于1922年成为该校第十一届毕业生。1923年她考入中国最早的西医女校广州夏葛医科大学深造,1928年获得医学士学位,成为一位女性全科医生。

学成之后,凭藉夏葛医科大学的声誉,以及翁瑞金本人的佳绩,她本来可以有较多的就业选择机会,但是她毫不犹豫地决定,回到当时还很贫穷落后的家乡福清,在惠乐生医院任职医生。  

 

1930年冬,翁瑞金奉派离开工作和生活条件相对优越的县城,赴龙田和新田医院担任院长,同时也是该院当时唯一的医生和护士学校唯一的教师,毅力坚强,非同常人。在其引领下,和新田医院不断提升医院实力,得到持续发展,成为当地百姓日益信赖的医院。

 

1942年7月,翁瑞金院长赴福州开会途中突发重病,经福清惠乐生医院抢救无效不幸逝世。

(五)

医学博士方雪琼,曾经也在福清私立惠乐生医院服务过。

方雪琼(1896-1985),出生于福建福清,祖籍福建惠安。其父方鲍参,是福清三中前身培元书院的首任院长和融美中学堂的首任堂长。

1903年至1906年,方雪琼就读于培元书院。1914年华南女子学校大学部试招两年制大学预科班,她是首批入读的5名学生之一。1916年完成两年学习后,赴美国爱荷华州柯伊学院深造,1921年毕业获得文学士学位,1925年又获得波士顿大学医学院医学博士学位。方雪琼是福清历史上第一位医学博士。

 

学成回国后,方雪琼任职于福清惠乐生医院,协助院长工作,并一度担任代理院长职务。其精湛医术和敬业精神,深受院方和广大患者好评。

 

1928年,方雪琼进入华南女子文理学院任校医,同时承担生理卫生学课程的教学工作。抗战前期,参加战时儿童保育会工作,任宜昌难童接待站站长,成功转移汉口、长沙和襄樊等地的1500多名难童到抗战大后方。鉴于其为儿科和儿童福利事业做出的业绩,1961年柯伊学院授予她“杰出校友奖”。

(六)

从1935年到1947年,方爱珍博士为福清惠乐生医院服务了12年。

方爱珍(1910-1995),福清龙田二村人。1922年,方爱珍在毓德小学毕业后,就读于福清毓贞初级中学和福州华南女子高中。1930年在福建华南女子学院毕业后,考入上海女子医学院深造,1935年获得医学博士学位。

毕业后,方爱珍谢辞上海的高薪聘请,毅然回到家乡,执医于惠乐生医院,并以精湛的医术和高尚的医德,赢得了父老乡亲的赞誉。  1945年,李煦春院长65岁告老退归,方爱珍接任院长职务。

1947年,方爱珍获得国际红十字会奖学金赴美留学,在纽约医学院研究院、哈佛大学医学院等美国著名高校深造,主攻精神疾病课程。此后,长期在华盛顿圣伊丽莎白医疗中心等地医院任住院医师,直至退休。

方爱珍在中国执医12年,在美国行医35年,她把一生的爱,献给了不同国家、不同肤色的人民。她曾长期帮助过中国等亚洲许多国家的在美留学生,其高超的医术水平更受到广泛的赞誉,美国名人杂志《WHO’S WHO》历年都登载其简历直至其逝世前夕。

作者:王钦法,福清三中原校长,文史学者。

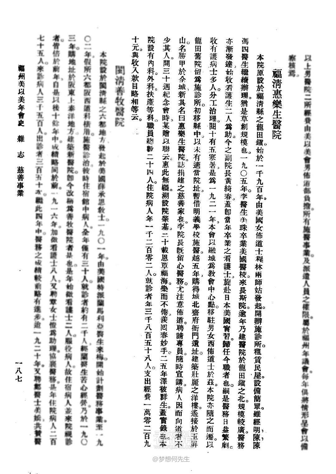
参考文献:林显芳,《福州美以美年会史》,1936年;施联义,龙田医院大事记(1900-1984),政协福清县委员会文史组《福清文史资料》新第三辑,1984年9月;薛攀皋,《翁瑞金院长事略》,2020年6月;福建华南女子职业学院,《百年芳华 华南女杰暨校友口述史》,南京师范大学出版社,2023年;华惠德(L.Ethel Wallace),《初建时期的华南女子大学》,《教育评论》1990年第1期;百科知识平台KNOWPIA网站。

 

来源:王钦法 知福清

2024-05-27 17:05 福建 

 

看福清——服务全球福清人!
回复

使用道具 举报

全部回复(3)
清香百合花 | 来自山东
了解了,谢谢楼主分享!!
收起回复
2024-5-29 23:11 来自福建 回复
B Color Smilies
还可输入 个字符
2024-5-28 09:14:01 来自手机
看福清——服务全球福清人!
半度微凉 | 来自福建
分享不易已知悉
回复 收起回复
B Color Smilies
还可输入 个字符
2024-5-29 23:11:34 来自手机
看福清——服务全球福清人!
您需要登录后才可以回帖 登录 | 立即注册 |

手机访问|手机App|Archiver|手机版|小黑屋|关于我们

© 2025 FQLOOK.cn|国家高新技术企业|福清市互联网示范企业|福清市IP访问量前三企业

闽工商网备第350181100079485号|闽B2-20250200|闽公网安备35018102000007号 |闽ICP备07503243号

侵权举报:本页面所涉内容为用户发表并上传,相应的法律责任由用户自行承担;本网站仅提供存储服务;如存在侵权问题,请权利人与本网站联系删除!举报电话:0591-39010577(转8号按键)

GMT+8, 2025-12-8 13:37 , Processed in 0.077099 second(s), 17 queries , MemCache On. |Powered by Discuz! X3.4